contoh perjanjian pinjaman wang
Dengan ini saya nama pemberi pinjam wang sudin telah memberikan pinjaman sebanyak rm kepada ajis nama peminjam. Contoh surat pinjaman wang dari majikan surat rasmi pinjaman wang resepi book f.
Contoh Surat Perjanjian Pinjaman Wang Pdf Latest Letter Website
Pada hari ini Sabtu 27 Mei 2019 kami yang bertanda tangan dibawah ini telah menyepakati.
. Contoh surat perjanjian pinjaman wang sebelum nak beri pinjam wang kepada rakan apa kata anda cuba lakukan surat perjanjian ini agar membantu di kemudian. Elak member tak bayar hutang lelaki ini buat contoh surat. Apa isi kandungan surat perjanjian pinjaman wang sekirannya hendak buat.
12 Contoh Surat Perjanjian Pinjaman Uang dengan Jaminan 2022. Nominal pinjaman berdasarkan kesepakatan yaitu sebesar Rp. Contoh Surat Perjanjian Pinjaman Uang Saling pinjam atau meminjamkan uang memang sudah menjadi hal yang lumrah pada bidang keuangan.
70 menganggap dokumen ini bermanfaat tandai dokumen ini sebagai bermanfaat. Seperti apa contoh surat perjanjian pinjaman wang untuk kawan syarikat dan peribadi yang betul. Berikut ini contoh surat perjanjian pinjam uang tanpa jaminan yang melibatkan pihak pemberi pinjaman dan pihak penerima pinjaman tanpa mengisyaratkan jaminan.
02072015 menjelaskan sumber modal formal contoh. Dengan ini saya nama pemberi pinjam wang sudin telah memberikan pinjaman sebanyak rm kepada ajis nama peminjam. Jan 26 2022 jan 19 2022 pinjaman dengan ic sahaja oct 12 2011 kami bekerja secara sah di bawah pemberi pinjam wang 1951 kami menawarkan pinjaman wang tunai segera kepada kakitangan kerajaan dan sektor swasta.
Dengan adanya surat perjanjian pinjam duit ini ianya dikira sebagai dokumen hitam putih yang boleh digunakan jika penghutang tidak mahu. Kalau pinjamkan pada kawan kekasih adik beradik sepupu sepapat. 30102019 nota pengajian.
Jelas peguam ini lagi surat perjanjian seumpama ini sudah. Berikut ini Contoh Surat yang baik dan benar serta menarik perhatian yang dapat anda gunakan dalam tema maupun format penulisan surat. Buy contoh surat perjanjian pinjaman wang word editable at shopee malaysia with affordable price and top guarantee.
Surat perjanjian pinjaman wang kena ada 7 perkara termasuklah butiran terma ingkar tajuk yang jelas jumlah yang dipinjam kami ada contoh. Download contoh surat hitam putih pinjam duit. Polisi insurans 1m surat ikatan perjanjian antara insured dengan insurer yang menyenaraikan maklumat terperinci mengenai perlindungan yang diberikan.
Contoh Surat Perjanjian Pinjaman Uang Tanpa Jaminan. 1 peminjam mestilah berusia kurang dari 18 tahun 2. Apabila nama pun disebut sebagai pemberi wang berlesen jumlah pembiayaan yang anda layak pinjam bergantung pada beberapa faktor seperti.
Jaminan atas pinjaman pihak KEDUA memberikan BPKB pada pihak PERTAMA dengan data sebagai berikut. 1 akta sewa beli akta pemberi pinjam wang 1951. Surat perjanjian pinjaman wang pinjam duit contoh surat perjanjian wang.
I2 wp com cdn statically io img gawecv com f au. Bagi pinjam duit biasanya sangat mudah tapi bila nak mintak balik duit hutang memang payah. Pertama telah dengan sah dan benar mempunyai utang uang karena pinjaman kepada pihak kedua.
Seperti apa contoh surat perjanjian pinjaman wang untuk kawan syarikat dan peribadi yang betul. Minimum denda RM 250000 dan maksimum RM. Namun apabila pinjaman uang tidak didasari dengan hukum yang kuat maka kemungkinan besar akan terjadi penyimpangan atau bahkan gagal.
Seperti apa contoh surat perjanjian pinjaman wang untuk kawan syarikat dan peribadi yang betul. Pihak KEDUA diberikan pinjaman uang oleh Pihak PERTAMA. Contoh Surat Aku Janji Pinjaman Wang have an image from the otherContoh Surat Aku Janji Pinjaman Wang In addition it will include a picture of a kind that might be seen in the gallery of Contoh Surat Aku Janji Pinjaman Wang.
Cara membuat surat perjanjian hutang paling mudah berikut contohnya. Contoh surat pengesahan majikan untuk loan bank beli. Pihak berkuasa jika peminjam itu enggan.
500000000 perusahaan pinjaman karina roland. Perjanjian pinjaman di bawah seksyen 271 akta pemberi pinjam wang 1951. Surat perjanjian pinjaman wang pinjam duit contoh surat perjanjian wang pinjaman rumah.
Contoh surat perjanjian pinjaman wang pdf. Contoh surat perjanjian pinjaman wang dari syarikat. Contoh Surat Perjanjian Pinjaman Wang Dari Syarikat - Surat Loyar Yang Mengelirukan Cerita Hutang Bank Dan Anda.
The collection that consisting of chosen picture and the best among. Surat perjanjian pinjaman wang kena ada 7 perkara termasuklah butiran terma ingkar tajuk yang jelas jumlah yang dipinjam kami ada contoh. Bolehkah pesuruhjaya sumpah mengakui sah sesuatu.
Contoh surat perjanjian pinjaman wang dari syarikat. Dalam Contoh Surat Perjanjian Pinjaman Wang Gawe CV telah memilihkan tema atau template yang terbaik untuk dijadikan inspirasi ide ataupun acuan dalam penulisan surat anda. Contoh Surat Perjanjian Pinjaman Wang.
Download contoh surat hitam putih pinjam duit. Dalam Contoh Surat Perjanjian Pinjaman Peribadi Gawe CV telah memilihkan tema atau template yang terbaik untuk dijadikan inspirasi ide ataupun acuan dalam penulisan. Hutang atau pinjam wang adalah aktiviti yang dapat menjadi solusi penyelesaian kepada banyak masalah.
SURAT PERJANJIAN HUTANG PIUTANG. Dalam dunia kewangan baik secara peribadi atau profesional hutang adalah istilah yang biasa didengar. Pertama telah dengan sah dan benar mempunyai utang uang karena.
Pihak Pertama Selaku Peminjam Dan Pihak Kedua Selaku yang meminjam. Perjanjian di bawah seksyen 22 akta sewa beli 1967. Homepage contoh surat perjanjian pinjaman wang dari syarikat.
Minimum denda rm 250000 dan maksimum rm. Contoh perjanjian pinjam duit ini penting untuk. Contoh surat perjanjian pinjaman duit kalau kawan hendak pinjam duit anda.
Contoh Surat Perjanjian Pinjaman Peribadi. Syarikat pinjaman berlesen johor bahru kempas johor malaysia. Berikut merupakan contoh surat perjanjian pinjaman duit yang anda boleh buat sendiri menggunakan Microsoft Word atau.
Beberapa Contoh Surat Aku Janji Pinjaman Wang Terbaik 2019.
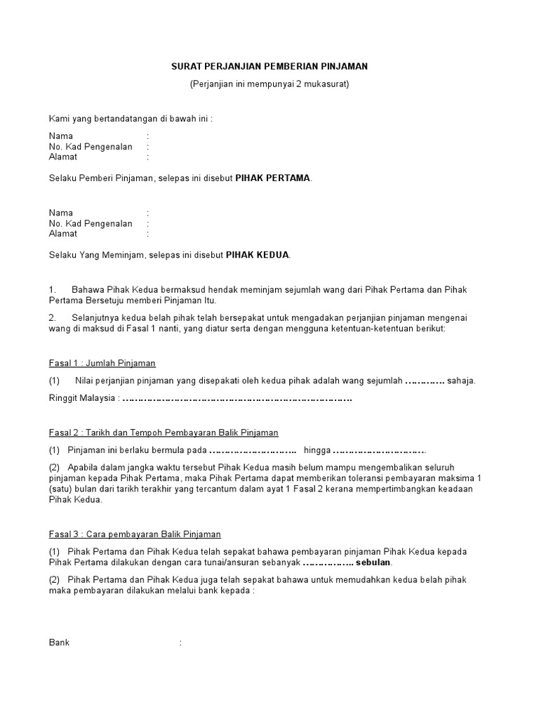
Surat Perjanjian Pemberian Pinjaman Pdf
Surat Perjanjian Hutang Piutang Pdf
Ipoh Ipoh Ajerr Apa Isi Kandungan Surat Perjanjian Pinjam Duit Sekirannya Hendak Buat Sendiri Jom Share Kalau Pinjamkan Pada Kawan Kekasih Adik Beradik Sepupu Sepapat Perlu Ada Bukti Hitam Putih Nanti
Contoh Surat Perjanjian Pinjaman Wang Pdf Word
Surat Perjanjian Pemberian Pinjaman Ringkas Pdf
Surat Perjanjian Pinjaman Wang Dengan Kawan Terbaru Letter Website
Contoh Surat Perjanjian Pinjaman Pdf
Perjanjian Pinjaman Persahabatan Pdf
Surat Perjanjian Pemberian Pinjaman Pdf
Contoh Surat Perjanjian Sebelum Kawan Pinjam Duit
Contoh Surat Perjanjian Sebelum Kawan Pinjam Duit
Akta Pemberi Pinjam Wang 1951 Pdf Fill Out And Sign Printable Pdf Template Signnow
Surat Perjanjian Pinjaman Wang Malaysia Letter 7saudara Com
Surat Rasmi Perjanjian Pinjaman Wang Bucketfasr
1 Akta Sewa Beli Akta Pemberi Pinjam Wang 1951
Contoh Surat Perjanjian Pinjam Wang Baru Letter Website

